출처: [https://machinelearningmastery.com/implement-perceptron-algorithm-scratch-python/] [https://pythonmachinelearning.pro/perceptrons-the-first-neural-networks/]
Perceptron Algorithm
간단한 Artifical Neural Network
Term
Neuron
Layer Neuron 집합
Perceptron Layer집합, Neural Network
Biological Neurons
Binary Inputs 받음 하지만, Weight 된 만큼 각 Input들이 다루어 짐 Weighted Signals 을 합쳐 Threshold를 넘으면 Fire 이 OUput은 axon을 거쳐 다른 Nerons로 감
Artifical Neurons
binary inputs이 들어오고 weights와 곱해져서 더해짐 z 를 pre-activation 이라함
bias = b (contant factor)
편의상 bias와 weight vector를 합친다.
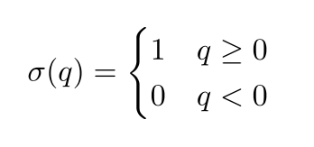
weighted sum을 구한후, activation function을 적용한다. (step function)
하나의 Neuron에 적용된다. 1이 나온다는 것은 Biological Neuron에서 Fire을 의미한다. 하나의 Neural Network에 적용하는 식은 다음과 같다. 
Capabilities and Limitations of Perceptrons
Binary Input이기 때문에 Binary Classification에 사용 가능하다. 즉, 오직 하나 혹 두 class에 속한다. 즉 logic gate 처럼 가능
한계점으로 선형적으로 분리된 경우에만 적용가능하다. 선형적으로 분리된 경우: 두 class를 분리하는 한 선을 그을 수 있는 경우 => Decision Boundary
logic gate의 경우 AND OR 은 가능하나, XOR은 불가능(single layer 형태의 경우)
이는 위의 Weighted Sum 식을 보면 알 수 있다. => 선형식 처럼 생김 hyperplan
따라서, Hidden Layer / Multiple Layers을 사용하면 XOR 문제를 해결 가능하다.
How to Train Perceptrons
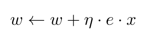
기대와 실제가 다를때 Weight Vector를 수정하여 조정한다. Weight Vector는 Perceptron 의 parameter이기 때문에 이 값을 계속해서 수정해서 원하는 경과를 얻어내야 한다.
좋은 delta w를 정해야한다.
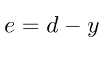
Error의 경우 다음과 같이 정의할 수 있다.
Error = Desired Output - Predicted Output
새 Weight = 기존 Weight + Hyperparameter(Leraing Rate) * Error * x
Epoch one epoch는 Perceptron이 Training data를 한 번 훑었을 때를 말한다.